经预测,某宗房地产未来4年的年净收益均为80万元,假定4年后的价格比现在上涨10%,该类房地产的报酬率为8.6%,则该房地产现在的价格是(  )万元。A、...

作者: tihaiku 人气: - 评论: 0
问题 经预测,某宗房地产未来4年的年净收益均为80万元,假定4年后的价格比现在上涨10%,该类房地产的报酬率为8.6%,则该房地产现在的价格是(  )万元。
选项 A、773、58 B、930、17 C、961、99 D、1249、86
答案 D
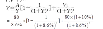
解析 预测房地产未来t年的净收益分别为A1,A2,…,At,第t年末的价格为Vt,如果净收益每年不变为A,其现在的价格为: =1249.86(万元)

相关内容:预测,某宗,房地产,未来,年净,收益,80万元,假定,价格比,上涨,报酬率,价格,万元

猜你喜欢

发表评论
更多 网友评论0 条评论)
暂无评论

访问排行

Copyright © 2012-2014 恰考网 Inc. 保留所有权利。 Powered by tikuer.com

页面耗时0.0327秒, 内存占用1.05 MB, Cache:redis,访问数据库20次