某房地产的土地使用年限为40年,至今已使用8年,年有效毛收入为60万元,正常运营费用为24万元,资本化率为8.2%,该宗房地产的收益价格为(  )万元。A...

作者: tihaiku 人气: - 评论: 0
问题 某房地产的土地使用年限为40年,至今已使用8年,年有效毛收入为60万元,正常运营费用为24万元,资本化率为8.2%,该宗房地产的收益价格为(  )万元。
选项 A、403、77 B、420、26 C、439、02 D、672、95
答案 A
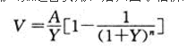
解析 净收益是指有关收入(如有效毛收入)减去费用(如运营费用)后归因于估价对象的收益。收益期为有限年且净收益每年不变的房地产的收益价格公式为: 。式中,V为房地产的收益价格;A为房地产的净收益;Y为房地产的报酬率或折现率;n为房地产的收益期限。根据题意得:A=60-24=36(万元),则V=36÷0.082×[1-1÷1.08240-8]=403.77(万元)。

相关内容:房地产,土地使用,年限,毛收入,60万元,运营,24万元,资本化率,该宗,收益,价格,万元

猜你喜欢

发表评论
更多 网友评论0 条评论)
暂无评论

Copyright © 2012-2014 恰考网 Inc. 保留所有权利。 Powered by tikuer.com

页面耗时0.0314秒, 内存占用1.04 MB, Cache:redis,访问数据库17次