甲房地产开发企业以3000万元的价格取得一宗面积为15亩的住宅建设用地,容积率为4.0,该企业拟采取预售方式对该项目进行销售。李某看了几个开发项目并进行了...

作者: tihaiku 人气: - 评论: 0
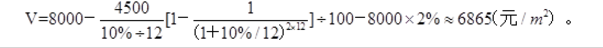
问题 甲房地产开发企业以3000万元的价格取得一宗面积为15亩的住宅建设用地,容积率为4.0,该企业拟采取预售方式对该项目进行销售。李某看了几个开发项目并进行了认真的比较分析之后于第2年购买了上述开发项目内一套面积为100m2的住宅,预计2年后入住,类似商品住房现房的市场价格为8000元/m2,每月末的租赁净收益为4500元/套,年折现率为10%,风险补偿为现房价格的2%。 根据类似现房的市场价格推算,李某购买的住宅目前的市场价格为(  )元/m2。
选项 A、6865 B、6894 C、6903 D、6931
答案 A
解析 本题中,李某购买的住宅属于期房。在期房与现房同品质(包括位置、结构、设备、装修、环境和配套设施等方面相同)的情况下,期房价格低于现房价格。 两者的关系为:。 则李某购买的住宅目前的市场价格为:

相关内容:房地产,开发企业,3000万元,价格,一宗,面积,住宅,建设,用地,容积率,企业,预售,方式,项目,销售,李某,开发

猜你喜欢

发表评论
更多 网友评论0 条评论)
暂无评论

访问排行

Copyright © 2012-2014 恰考网 Inc. 保留所有权利。 Powered by tikuer.com

页面耗时0.0585秒, 内存占用1.05 MB, Cache:redis,访问数据库20次