宋某拟每年以相同的数额向商业银行存款,若在15年后存款余额要达到18万元,假定银行存款年利率为5%,宋某每年须向银行存款(  )元。A、5772、21 ...

作者: tihaiku 人气: - 评论: 0
问题 宋某拟每年以相同的数额向商业银行存款,若在15年后存款余额要达到18万元,假定银行存款年利率为5%,宋某每年须向银行存款(  )元。
选项 A、5772、21 B、8341、61 C、11428、57 D、12000、00
答案 B
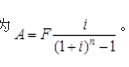
解析 将来值转换为等额年金的计算公式为 。式中,A为等额年金,F为终值,i为利息,n为计息周期。 则宋某每年须项银行存款为: 18×10000×5%÷[(1+5%)15-1]=8341.61(元)。

相关内容:宋某,数额,商业,银行,存款,余额,18万元,假定,年利率

猜你喜欢

发表评论
更多 网友评论0 条评论)
暂无评论

访问排行

Copyright © 2012-2014 恰考网 Inc. 保留所有权利。 Powered by tikuer.com

页面耗时0.0336秒, 内存占用1.05 MB, Cache:redis,访问数据库20次