张某准备每年按相同的数额向银行存款,并打算在8年后达到10万元,假定银行存款年利率为5%,张某每年应向银行存款(  )元。A、8460、49 B、104...

作者: tihaiku 人气: - 评论: 0
问题 张某准备每年按相同的数额向银行存款,并打算在8年后达到10万元,假定银行存款年利率为5%,张某每年应向银行存款(  )元。
选项 A、8460、49 B、10472、18 C、12500、00 D、18468、19
答案 B
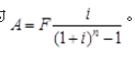
解析 将来值转换为等额年金的计算公式为 。式中,A为等额年金,F为终值,i为利息,n为计息周期。 则张某每年应向银行存入的存款为: (100000×5%)÷[(1+5%)8-1]=10472.18(元)。

相关内容:张某,数额,银行,存款,10万元,假定,年利率,应向,104...

猜你喜欢

发表评论
更多 网友评论0 条评论)
暂无评论

访问排行

Copyright © 2012-2014 恰考网 Inc. 保留所有权利。 Powered by tikuer.com

页面耗时0.0338秒, 内存占用1.05 MB, Cache:redis,访问数据库19次