某人购买一套住宅,一次性付款50万元,使用寿命50年,当资本利率为10%时,每年的平均住房费用为()万元。A、4.53 B、5.04 C、6.12 ...

作者: tihaiku 人气: - 评论: 0
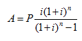
问题 某人购买一套住宅,一次性付款50万元,使用寿命50年,当资本利率为10%时,每年的平均住房费用为()万元。
选项 A、4.53 B、5.04 C、6.12 D、7.39
答案 B
解析 已知P求A值,=5.04万元,i=10%.P=50万元,n=50年,代入 算出答案为B.

相关内容:住宅,50万元,寿命,资本,利率,房费,万元

猜你喜欢

发表评论
更多 网友评论0 条评论)
暂无评论

访问排行

Copyright © 2012-2014 恰考网 Inc. 保留所有权利。 Powered by tikuer.com

页面耗时0.0265秒, 内存占用1.05 MB, Cache:redis,访问数据库19次