某家庭向银行申请了总额为30万元、年利率为6%、贷款期限为30年、按月等额还本付息的个人住房抵押贷款。该家庭的月还款额是()元。A:1798.6 B:2...

作者: tihaiku 人气: - 评论: 0
问题 某家庭向银行申请了总额为30万元、年利率为6%、贷款期限为30年、按月等额还本付息的个人住房抵押贷款。该家庭的月还款额是()元。
选项 A:1798.6 B:2333.33 C:4786.25 D:5018.81
答案 A
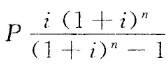
解析 本题考查等额分付资本回收公式。P~A,A=本题需要注意的是计息期。已知的是年利率,但求的是月还款额,P=30万元.因此i=6%/12=0.5%,n=30*12=360。所以A=P(A/P,6%/12,360)=[30000*(1+0.5%)3600.5%]/[(1+0.5%)360-1]=1798.65(元)。

相关内容:家庭,银行,申请,总额,30万元,年利率,贷款,期限,等额,个人,住房,抵押贷款,还款额,1798.6

发表评论
更多 网友评论0 条评论)
暂无评论

访问排行

Copyright © 2012-2014 恰考网 Inc. 保留所有权利。 Powered by tikuer.com

页面耗时0.0421秒, 内存占用1.05 MB, Cache:redis,访问数据库20次