共用题干 某投资者以500万元的总价购买了一店铺用于出租经营,首付款为60%,余款为银行提供的年利率为7%、期限为10年、按年等额还款的抵押贷款。该店铺...

作者: tihaiku 人气: - 评论: 0
问题 共用题干 某投资者以500万元的总价购买了一店铺用于出租经营,首付款为60%,余款为银行提供的年利率为7%、期限为10年、按年等额还款的抵押贷款。该店铺的经营期为20年,投资者要求的目标收益率不低于10%。根据以上资料,回答下列问题:
选项 该投资项目的现金流出为()。 A:土地取得成本 B:购房款 C:经营成本 D:租金收入
答案 BC
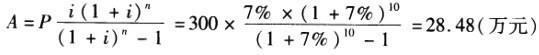
解析 已知:贷款金额P=500*60%=300(万元),贷款年利率i=7%,收该投资者的年还款额A计算如下:

经营型房地产开发项目的现金流出主要由固定资产投资和经营成本两大部分组成。这里的固定资产投资主要是购房款。
财务内部收益率反映项目的盈利能力,表明项目投资可以接受最高贷款利率。
投资者购买房产主要用来出租属于租赁型置业投资,所以土地价格的变动不影响投资者目标的实现。

相关内容:题干,投资者,500万元,总价,店铺,经营,首付款,余款,为银行,年利率,期限,等额,抵押贷款

猜你喜欢

发表评论
更多 网友评论0 条评论)
暂无评论

访问排行

Copyright © 2012-2014 恰考网 Inc. 保留所有权利。 Powered by tikuer.com

页面耗时0.0310秒, 内存占用1.05 MB, Cache:redis,访问数据库19次