共用题干 某门面房建筑面积100米2,预测其未来每年的潜在毛租金收入为10万元,空置和收租损失为潜在毛租金收入的100,运营费用为潜在毛租金收入的20%...

作者: tihaiku 人气: - 评论: 0
问题 共用题干 某门面房建筑面积100米2,预测其未来每年的潜在毛租金收入为10万元,空置和收租损失为潜在毛租金收入的100,运营费用为潜在毛租金收入的20%,报酬率为8%,收益期限为30年。根据以上资料,回答下列问题:
选项 该门面房的年净收益为()。 A:7万元 B:8万元 C:9万元 D:10万元
答案 A
解析 该门面房价值提高主要取决于三个因素:①未来净收益的大小;②获取净收益4的长短;③获取净收益的可靠程度。依据V=A/Y(V为收益,A为净收益,Y为报酬率),Y减小,V增大。
基于租赁收入测算净收益的基本公式为:净收益=潜在毛租金收入-空置和收租损失+其他收入-运营费用=10-10*10%+0-10*20%=7(万元)。
报酬率也称为回报率、收益率,是一种折现率,是与利率、内部收益率同性质的比率。
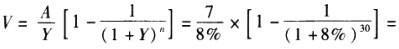
该门面房的价值依据收益法78.80(万元)

相关内容:题干,门面房,建筑面积,100米,预测,未来,潜在,毛租金,租金,收入,10万元,运营,20%...

猜你喜欢

发表评论
更多 网友评论0 条评论)
暂无评论

访问排行

Copyright © 2012-2014 恰考网 Inc. 保留所有权利。 Powered by tikuer.com

页面耗时0.0393秒, 内存占用1.05 MB, Cache:redis,访问数据库20次