已知报酬率为8%,该酒店式公寓建成后的价值为(  )元/平方米。A.3000 B.3533 C.3577 D.3750

作者: tihaiku 人气: - 评论: 0
问题 已知报酬率为8%,该酒店式公寓建成后的价值为(  )元/平方米。
选项 A.3000 B.3533 C.3577 D.3750
答案 B
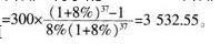
解析 本题考查收益法中有限年期的计算。注意收益年限为剩余的土地使用年限为40-1-2=37年。利用已知年值求现值的公式, 该酒店式公寓建成后的价值

相关内容:报酬率,公寓,价值,A.3000,B.3533,C.3577,D.3750

猜你喜欢

发表评论
更多 网友评论0 条评论)
暂无评论

访问排行

Copyright © 2012-2014 恰考网 Inc. 保留所有权利。 Powered by tikuer.com

页面耗时0.0431秒, 内存占用1.05 MB, Cache:redis,访问数据库20次