某家庭预计在今后10年内的月收入为12000元,如果其中的30%用于支付住房抵押贷款的月还款额,年贷款利率为6%,年存款利率为2%,年通货膨胀率为3%,该...

作者: tihaiku 人气: - 评论: 0
问题 某家庭预计在今后10年内的月收入为12000元,如果其中的30%用于支付住房抵押贷款的月还款额,年贷款利率为6%,年存款利率为2%,年通货膨胀率为3%,该家庭有偿还能力的10年期按月等额还款的最大抵押贷款申请额是()万元。
选项 A.32.43 B.37.28 C.39.12 D.40.75
答案 A
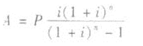
解析 等额本息还款方式是在整个贷款期限内以固定月利率和固定月还款额按月偿还贷款本息。月还款额等于以贷款金额为现值计算的年金,计算公式为: 式中,A为月还款额;P为贷款金额;i为贷款月利率;n为按月计算的贷款期限。 根据题意,i=6%/12,n=120,A=12000×30%=3600,计算得:P=A/(P/A,i,n)=32.43。

相关内容:家庭,年内,12000元,支付,住房,抵押贷款,还款额,贷款,利率,存款,通货膨胀率

猜你喜欢

发表评论
更多 网友评论0 条评论)
暂无评论

访问排行

Copyright © 2012-2014 恰考网 Inc. 保留所有权利。 Powered by tikuer.com

页面耗时0.0287秒, 内存占用1.05 MB, Cache:redis,访问数据库19次