李某购买一套总价为100万元的住房。如果选择贷款,则最低首付比例为30%,住房公积金贷款的最高额度为50万元,住房公积金贷款的年利率为4.5%,商业性贷款...

作者: tihaiku 人气: - 评论: 0
问题 李某购买一套总价为100万元的住房。如果选择贷款,则最低首付比例为30%,住房公积金贷款的最高额度为50万元,住房公积金贷款的年利率为4.5%,商业性贷款的年利率为6.5%,贷款期限为10年。 根据以上资料,回答下列问题: 若李某首付款40万元,余款采用贷款,并按月等额本息还款,则李某的月还款额最少为()元。
选项 A.1135.48 B.4046.44 C.5158.92 D.6317.40
答案 D
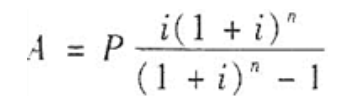
解析 根据题意,总贷款额=100-40=60(万元),因为使月还款额最少,所以采取住房公积金贷款50万元,商业性银行贷款10万元的策略。等额本息还款方式下,月还款额的计算公式为: 式中, A 为月还款额, P 为贷款金额, i 为贷款月利率, n 为按月计算的贷款期限。代入数据,计算得:

相关内容:李某,总价,100万元,住房,贷款,首付,比例,公积金,额度,50万元,年利率,商业性

猜你喜欢

发表评论
更多 网友评论0 条评论)
暂无评论

访问排行

Copyright © 2012-2014 恰考网 Inc. 保留所有权利。 Powered by tikuer.com

页面耗时0.0311秒, 内存占用1.05 MB, Cache:redis,访问数据库19次