某家庭以30万元购买了一套住宅,银行为其提供了20年期的住房抵押贷款,该贷款的年利率为9%,按月等额还款,如果该家庭于第6年年初一次提前偿还贷款本金7万元...

作者: tihaiku 人气: - 评论: 0
问题 某家庭以30万元购买了一套住宅,银行为其提供了20年期的住房抵押贷款,该贷款的年利率为9%,按月等额还款,如果该家庭于第6年年初一次提前偿还贷款本金7万元,则从第6年开始的抵押贷款月还款额将减少()元。
选项 A:544.10 B:709.99 C:6300.00 D:709.38
答案 B
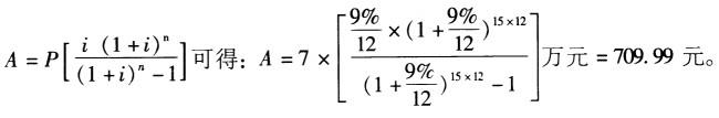
解析 将第6年年初的7万元看作P,在余下的10年中每月等额还款数就是从第6年开始的抵押贷款月还款额减少值。运用公式

注意:公式中的n是15而不是14,因为第6年年初等于第5年年末。

猜你喜欢

发表评论
更多 网友评论0 条评论)
暂无评论

访问排行

Copyright © 2012-2014 恰考网 Inc. 保留所有权利。 Powered by tikuer.com

页面耗时0.0484秒, 内存占用1.04 MB, Cache:redis,访问数据库20次