一套三居室的房子,建筑面积120平方米,每平方米5 000元,其在实际交易中可能出现以下情况:根据上述资料,回答下列问题:若分期付款,首付20万元...

作者: rantiku 人气: - 评论: 0
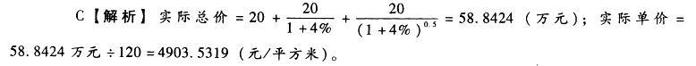
问题 一套三居室的房子,建筑面积120平方米,每平方米5 000元,其在实际交易中可能出现以下情况: 根据上述资料,回答下列问题: 若分期付款,首付20万元,余下的在一年内分两期付,每期付20万,则其实际总价和实际单价分别为( )元。
选项 A. 60 万元;4 880 B. 58. 556 万元;5 000 C. 58. 8424 万元;4 903.5319 D.无法计算
答案 C
解析

猜你喜欢

发表评论
更多 网友评论0 条评论)
暂无评论

访问排行

Copyright © 2012-2014 恰考网 Inc. 保留所有权利。 Powered by tikuer.com

页面耗时0.0391秒, 内存占用1.03 MB, Cache:redis,访问数据库19次