某家庭以住宅抵押贷款方式购买了一套住宅,住房抵押贷款期限为20年,年利率为6%,以每月2500元等额还款。该家庭于第7年年初一次性偿还贷款本金10万元,余...

作者: rantiku 人气: - 评论: 0
问题 某家庭以住宅抵押贷款方式购买了一套住宅,住房抵押贷款期限为20年,年利率为6%,以每月2500元等额还款。该家庭于第7年年初一次性偿还贷款本金10万元,余额在以后的5年内用按月等额还款的方式还清,则最后5年内的月等额还款额为()元。
选项 A:3551.29 B:2283.84 C:3124.15 D:2187.65
答案 A
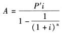
解析 先计算第7年年初(即第6年年末)按原还款计划对应的P值。运用公式P=A/i[1-1/(1+i)n可得:P=[2500元/(6%/12)]*[1-(1+6%/12)-14*12]=283692.47元,再用P减去10万元得出在最后5年内应偿还的贷款额P',运用公式

可得:A=183692.47元*(6%/12)/[1-(1+6%/12)-60]=3551.29元。

猜你喜欢

发表评论
更多 网友评论0 条评论)
暂无评论

访问排行

Copyright © 2012-2014 恰考网 Inc. 保留所有权利。 Powered by tikuer.com

页面耗时0.0310秒, 内存占用1.03 MB, Cache:redis,访问数据库17次