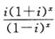
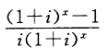
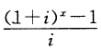
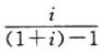
等额序列支付资金回收系数正确的表达式是()。A:B:C:D:

作者: rantiku 人气: - 评论: 0
问题 等额序列支付资金回收系数正确的表达式是()。
选项 A: B: C: D:
答案 B
解析 [(1+i)x-1]/[i(1+i)x]称为等额序列支付现值系数。

猜你喜欢

发表评论
更多 网友评论0 条评论)
暂无评论

访问排行

Copyright © 2012-2014 恰考网 Inc. 保留所有权利。 Powered by tikuer.com

页面耗时0.0305秒, 内存占用1.03 MB, Cache:redis,访问数据库17次