妈妈、姐姐、妹妹三人现在的年龄和是65岁。当妈妈的年龄是姐姐的年龄的3倍时,妹妹是6岁;当姐姐的年龄是妹妹的年龄的2倍时,妈妈的年龄是32岁。问:妹妹现在...

作者: rantiku 人气: - 评论: 0
问题 妈妈、姐姐、妹妹三人现在的年龄和是65岁。当妈妈的年龄是姐姐的年龄的3倍时,妹妹是6岁;当姐姐的年龄是妹妹的年龄的2倍时,妈妈的年龄是32岁。问:妹妹现在的年龄是多少岁?( ) A. 10 B. 11 C. 14 D. 16
选项
答案 B
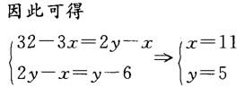
解析 设妹妹6岁时,姐姐的年龄为x岁,则此时妈妈的年龄为3x岁;设妈妈年龄为32岁时,妹妹年龄为y岁,则此时姐姐年龄为2y岁,因此可得下表: 因此当妹妹6岁时,姐姐是11岁,妈妈是33岁,此时她们的年龄和为6 + 11 + 33 = 50 (岁),她们现在的年龄和为65岁,(65 —50)÷3 =5,因此妹妹现在的年龄为6 + 5 = 11(岁),正确答案为B。

猜你喜欢

发表评论
更多 网友评论0 条评论)
暂无评论

访问排行

Copyright © 2012-2014 恰考网 Inc. 保留所有权利。 Powered by tikuer.com

页面耗时0.0599秒, 内存占用1.03 MB, Cache:redis,访问数据库19次