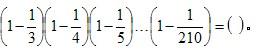
A. 1 B. 1/105 C. 1/210 D. 209/105

作者: rantiku 人气: - 评论: 0
问题 A. 1 B. 1/105 C. 1/210 D. 209/105
选项
答案 B
解析 解题指导: 原式转化为2/3*3/4*4/5*。。。。。。。*208/203*203/210=1/105,故答案为B。

猜你喜欢

发表评论
更多 网友评论0 条评论)
暂无评论

访问排行

Copyright © 2012-2014 恰考网 Inc. 保留所有权利。 Powered by tikuer.com

页面耗时0.0470秒, 内存占用1.03 MB, Cache:redis,访问数据库17次