一家银行购买了刚发行的票面利率为12%、票面金额为100美元的3年期债券,若市场利率为12%,此债券的市场价值是()美元。A. 95.2 B. 98.5...

作者: tihaiku 人气: - 评论: 0
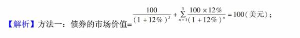
问题 一家银行购买了刚发行的票面利率为12%、票面金额为100美元的3年期债券,若市场利率为12%,此债券的市场价值是()美元。
选项 A. 95.2 B. 98.5 C. 100 D. 105.8
答案 C
解析 方法二:该债券的票面利率与市场利率相同,属于平价发行,市场价值即为面值。

相关内容:一家,银行,刚发,票面,利率,金额,美元,年期,债券,市场,价值,98.5...

猜你喜欢

发表评论
更多 网友评论0 条评论)
暂无评论

访问排行

Copyright © 2012-2014 恰考网 Inc. 保留所有权利。 Powered by tikuer.com

页面耗时0.0441秒, 内存占用1.05 MB, Cache:redis,访问数据库20次