某2年期债券久期为1.8年,债券目前价格为105.00元,市场利率为3%,假设市场利率上升50个基点,则按照久期公式计算,该债券价格( )。A.上涨0.8...

作者: tihaiku 人气: - 评论: 0
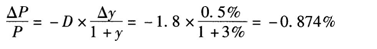
问题 某2年期债券久期为1.8年,债券目前价格为105.00元,市场利率为3%,假设市场利率上升50个基点,则按照久期公式计算,该债券价格( )。
选项 A.上涨0.874% B.下跌0.917% C.下跌0.874% D.上涨0.917%
答案 C
解析 久期(也称持续期)用于对固定收益产品的利率敏感程度或利率弹性的衡量。在市场利率有微小改变时,固定收益产品价格的变化可以表示为:

相关内容:年期,债券,久期,1.8年,价格,105.00元,市场,利率,假设,基点,公式,上涨,0.8...

猜你喜欢

发表评论
更多 网友评论0 条评论)
暂无评论

访问排行

Copyright © 2012-2014 恰考网 Inc. 保留所有权利。 Powered by tikuer.com

页面耗时0.0386秒, 内存占用1.04 MB, Cache:redis,访问数据库19次