资产收益率的不确定性就是风险的集中体现,而风险的大小可以由未来收益率与预期收益率的偏离程度来反映。假设资产的未来收益率有n种可能的取值r1,r2,…,rn...

作者: tihaiku 人气: - 评论: 0
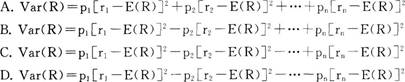
问题 资产收益率的不确定性就是风险的集中体现,而风险的大小可以由未来收益率与预期收益率的偏离程度来反映。假设资产的未来收益率有n种可能的取值r1,r2,…,rn,每种收益率对应出现的概率为Pi,收益率r的第i个取值的偏离程度用[ri一E(R)]2来计量,则资产的方差Var(R)为(  )
选项
答案 A
解析 资产收益率的不确定性就是风险的集中体现,而风险的大小可以由未来收益率与预期收益率的偏离程度来反映。本题假设资产的未来收益率有n种可能的取值r1,r2,…,rn,每种收益率对应出现的概率为Pi,收益率r的第i个取值的偏离程度用[ri-E(R)]2来计量,则资产的方差Var(R)=P1[r1-E(R)]--2+P2[r2-E(R)]2+…+Pn[rn-E(R)]2。

相关内容:资产,收益率,不确定性,就是,风险,大小,未来,预期,程度,假设,可能

猜你喜欢

发表评论
更多 网友评论0 条评论)
暂无评论

访问排行

Copyright © 2012-2014 恰考网 Inc. 保留所有权利。 Powered by tikuer.com

页面耗时0.0425秒, 内存占用1.04 MB, Cache:redis,访问数据库20次