某商业银行2010年度营业收入为8亿元;2011年度营业总收入为11.5亿元,其中包括银行账户出售长期持有债券的净收益1.5亿元;2012年度营业总收入为...

作者: tihaiku 人气: - 评论: 0
问题 某商业银行2010年度营业收入为8亿元;2011年度营业总收入为11.5亿元,其中包括银行账户出售长期持有债券的净收益1.5亿元;2012年度营业总收入为7亿元,则根据基本指标法,该行2013年应持有的操作风险经济资本为(  )。
选项 A. 1.325亿元 B. 1.25亿元 C. 1亿元 D. 1.5亿元
答案 B
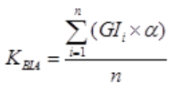
解析 根据基本指标法,操作风险资本要求的计算公式为 其中,GI为过去三年中每年正的总收入(不包括银行账户“拥有至到期日”和“可供出售”两类证券出售实现的损益),n为过去三年中总收入为正的年数,为15%。则该行2013年应持有的操作风险经济资本=(8+11.5-1.5+7)×15%/3=1.25(亿元)。

相关内容:商业,银行,年度,营业,收入,8亿元,总收入,11.5亿元,其中包括,账户,债券,收益,1.5亿元

猜你喜欢

发表评论
更多 网友评论0 条评论)
暂无评论

访问排行

Copyright © 2012-2014 恰考网 Inc. 保留所有权利。 Powered by tikuer.com

页面耗时0.0388秒, 内存占用1.05 MB, Cache:redis,访问数据库20次