某项工作的持续时间为4,其两项紧前工作的最早完成时间分别为3、2,两项紧 后工作的最早开始时间分别为11、8,则该项工作的自由时差为( )。A. 0 B....

作者: rantiku 人气: - 评论: 0
问题 某项工作的持续时间为4,其两项紧前工作的最早完成时间分别为3、2,两项紧 后工作的最早开始时间分别为11、8,则该项工作的自由时差为( )。
选项 A. 0 B. 1 C. 2 D. 3
答案 B
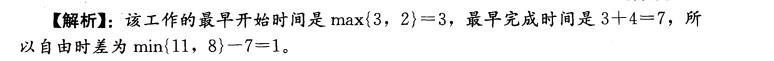
解析 【考核要点】:网络计划时间参数的计算。

猜你喜欢

发表评论
更多 网友评论0 条评论)
暂无评论

访问排行

Copyright © 2012-2014 恰考网 Inc. 保留所有权利。 Powered by tikuer.com

页面耗时0.0308秒, 内存占用1.03 MB, Cache:redis,访问数据库19次