工程项目单代号网络计划如图所示,该计划中的关键路线有()条。A:1 B:2 C:3 D:4

作者: rantiku 人气: - 评论: 0
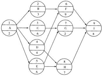
问题 工程项目单代号网络计划如图所示,该计划中的关键路线有()条。
选项 A:1 B:2 C:3 D:4
答案 B
解析 有了最早与最迟时间参数后,即可计算工作的总时差和自由时差,将时差为零的节点用粗黑线连接起来即为关键线路。因此这个题的关键在于求解总时差。其关键线路为A—D—F—I;A—E—H—I。

猜你喜欢

发表评论
更多 网友评论0 条评论)
暂无评论

访问排行

Copyright © 2012-2014 恰考网 Inc. 保留所有权利。 Powered by tikuer.com

页面耗时0.0511秒, 内存占用1.03 MB, Cache:redis,访问数据库19次