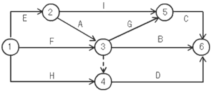
根据下面所示双代号网络图,工作D 的紧前工作有( )。 A、工作H B、工作F C、工作A D、工作E E、工作B

作者: rantiku 人气: - 评论: 0
问题 根据下面所示双代号网络图,工作D 的紧前工作有( )。
选项 A、工作H B、工作F C、工作A D、工作E E、工作B
答案 ABC
解析 考点: 工作顺序安排。由双代号网络图可知,D 工作的紧前工作有工作 A、工作 F 和工作 H。

猜你喜欢

发表评论
更多 网友评论0 条评论)
暂无评论

访问排行

Copyright © 2012-2014 恰考网 Inc. 保留所有权利。 Powered by tikuer.com

页面耗时0.0885秒, 内存占用1.03 MB, Cache:redis,访问数据库17次