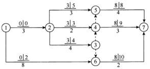
某设备安装工程的双代号网络计划如下图所示,图中已标出每项工作的最早开始时间和最迟开始时间,该计划表明()。A:工作1-6的自由时差为2 B:工作2-5的...

作者: tihaiku 人气: - 评论: 0
问题 某设备安装工程的双代号网络计划如下图所示,图中已标出每项工作的最早开始时间和最迟开始时间,该计划表明()。
选项 A:工作1-6的自由时差为2 B:工作2-5的自由时差为0 C:工作2-3的自由时差为1 D:工作4-7的自由时差为1 E:工作2-4为关键工作
答案 CD
解析 本题考核的是双代号网络计划时间参数的计算。有紧后工作的工作,其自由时差等于本工作之紧后工作最早开始时间减去本工作最早完成时间所得之差的最小值。工作1-6的自由时差为8-8=00工作2-5的自由时差为8-6=20工作2-3的自由时差为8-7=10工作4-7的自由时差为12-8-3=10关键线路为:①—②—③—④—⑤—⑦。

相关内容:设备,代号,网络,计划,下图,图中,工作,时间,时差

猜你喜欢

发表评论
更多 网友评论0 条评论)
暂无评论

访问排行

Copyright © 2012-2014 恰考网 Inc. 保留所有权利。 Powered by tikuer.com

页面耗时0.0303秒, 内存占用1.05 MB, Cache:redis,访问数据库19次