一、某工业引进项目,基础数据如下:(1)项目的建设前期年限为1年,建设期为2年,该项目的实施计划为:第一年完成项目的全部投资40%,第二年完成60%,...

作者: rantiku 人气: - 评论: 0
问题 一、某工业引进项目,基础数据如下: (1)项目的建设前期年限为1年,建设期为2年,该项目的实施计划为:第一年完成项目的全部投资40%,第二年完成60%,第三年项目投产并且达到100%设计生产能力,预计年产量为3 000万元。 (2)全套设备拟从国外进口,重量1 850t,装运港船上交货价为460万美元,国际运费标准为330美元/t,海上运输保险费率为0.2685%,中国银行费率为0.45%,外贸手续费率为1.7%,关税税率为22%,增值税税率为17%,美元对人民币的银行牌价为1:6.6,设备的国内运杂费率为2.3%。 (3)根据已建同类项目统计情况,一般建筑工程占设备购置投资的27.6%,安装工程占设备购置投资的10%,工程建设其他费用占设备购置投资的7.7%,以上三项的综合调整系数分别为:1.23、1.15、1.08 。 (4)本项目固定资产投资中有2 000万元来自银行贷款,其余为自有资金,且不论借款还是自有资金均按计划比例投入。根据借款协议,贷款利率按10%计算,按季计息。基本预备费费率10%,建设期内涨价预备费平均费率为6%。 (5)根据已建成同类项目资料,每万吨产品占用流动资金为1.3万元。 问题: 1.计算项目设备购置投资。 2.估算项目固定资产投资额。 3.试用扩大指标法估算流动资金。 4.估算该项目的总投资。 (计算结果保留小数点后两位)
选项
答案
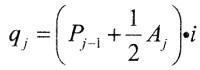
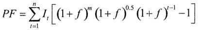
解析 1.进口设备货价=装运港船上交货价*外汇市场美元兑换人民币中间价=460*6.6=3 036(万元); 国际运费=设备重量*国际运费标准单价*外汇市场美元兑换人民币中间价=1 850*330*6.6=402.93(万元); 国外运输保险费=(原币货价(FOB)+国外运费)/(1-保险费率)*保险费率=(3036+402.93)/(1+0.2685%)*0.2685=9.21(万元); 银行财务费=进口设备货价*中国银行费率=3 036*0.45%=13.66(万元); 外贸手续费=(进口设备货价+国际运费+国外运输保险费)*外贸手续费费率=(3 036+402.93+9.21)*1.7%=58.62(万元); 进口关税=(进口设备货价+国际运费+国外运输保险费)*关税税率=(3 036+402.93+9.21)*22%=758.59(万元); 增值税=(进口设备货价+国际运费+国外运输保险费+进口关税)*增值税税率=(3 036+402.93+9.21+758.59)*17%=715.14(万元); 进口设备原价=进口设备货价+国际运费+国外运输保险费+银行财务费+外贸手续费+进口关税+ 增值税=3 036+402.93+9.21+13.66+58.62+758.59+715.14=4 994.15(万元); 设备购置投资=进口设备原价*(1+设备国内运杂费率)=4 994.15*(1+2.3%)=5 109.02(万元)。 2.由设备系数估算法得: 工程费用+工程建设其他费用=设备购置费*(1+建筑工程费占投资购置费的比例*建筑工程费的综 合调整系数+安装工程费占投资购置费的比例*安装工程费的综合调整系数+工程建设其他费用占设 备购置费的比例*工程建设其他费用的综合调整系数)=5 109.02*(1+27.6%*1.23+10%*1.15+7.7%*1.08)=7 855.83(万元); 基本预备费=(工程费用+工程建设其他费用)*基本预备费费率=7 855.83*10%=785.58(万元); 涨价预备费的计算公式为: 式中,PF为涨价预备费;n为建设期年份数;It为建设期中第t年的投资计划额,包括工程费用、工程 建设其他费用及基本预备费,即第t年的静态投资;f为年均投资价格上涨率;m为建设前期年限(从 编制估算到开工建设,单位:年)。将题中条件代入可得: 涨价预备费=(7 855.83+785.58)*40%*[(1+6%)*(1+6%)0.5*(1+6)0 - 1]+(7 855.83+785.58)*60%*[(1+6%)*(1+6%)0.5*(1+6%)1- 1]=1128.78(万元) 贷款年实际利率=(1+名义利率/年计息次数) 年计息次数- 1=(1+10%/4)4-1=10.38% 建设期贷款利息的计算公式为: 式中,qj为建设期第y年应计利息;pj-1为建设期第(j-1)年末累计贷款本金与利息之和;Aj为建设期第j年贷款金额;i为年利率。 建设期第一年贷款利息=1/2*2 000*40%*10.38%=41.52(万元) 建设期第二年贷款利息=(2 000*40%+41.52+1/2*2 000*60%)*10.38%=149.63(万元) 建设期贷款利息=41.52+149.63=191.15(万元) 固定资产投资=工程费用+工程建设其他费用+基本预备费+涨价预备费+建设期贷款利息=7 855.83+785.58+1 128. 78+191.15=9 961.34(万元) 3.流动资金=预计年产量*每万吨产品占用的流动资金=3 000*1.3=3 900(万元) 4.项目总投资=固定资产投资+流动资金=9 961.34+3 900=13 861.34(万元)

猜你喜欢

发表评论
更多 网友评论0 条评论)
暂无评论

访问排行

Copyright © 2012-2014 恰考网 Inc. 保留所有权利。 Powered by tikuer.com

页面耗时0.0451秒, 内存占用1.04 MB, Cache:redis,访问数据库20次