某建筑安装工程施工合同,合同总价6000万元,合同工期6个月,合同签订日期为1月初,从当年2月份开始施工。 (1)合同规定: ①预付款按合同价的2...

作者: tihaiku 人气: - 评论: 0
问题 某建筑安装工程施工合同,合同总价6000万元,合同工期6个月,合同签订日期为1月初,从当年2月份开始施工。 (1)合同规定: ①预付款按合同价的20%支付,支付预付款及进度款达到合同价的40%时,开始抵扣预付工程款,在下月起各月平均扣回。 ②保修金按5%扣留,从第一个月开始按各月结算工程款的10%扣留,扣完为止。 ③工程提前1天奖励10000元,推迟1天罚款20000元。 ④合同规定,当物价比签订合同时上涨≥5%时,依当月应结价款的实际上涨幅度按如下公式调整: P=P0×(0.15A/A0+0.60B/B0+0.25) 其中0.15为人工费在合同总价中的比重,0.60为材料费在合同总价中的比重。 单项上涨小于5%者不予调整,其他情况均不予调整。 (2)工程如期开工后,施工过程中: ①4月份赶上雨季施工,由于采取防雨措施,造成施工单位费用增加2万元;中途机械发生故障检修,延误工期1天,费用损失1万元。 ②5月份由于公网连续停电2天,造成停工,使施工单位损失3万元。 ③6月份由于业主设计变更,造成施工单位返工费损失5万元,并损失工期2天,且又停工待图15天,窝工损失6万元。 ④为赶工期,施工单位采取赶工措施,增加赶工措施费5万元,使工程不仅未拖延,反而比合同工期提前10天完成。 ⑤假定以上损失工期均在关键路线上,索赔费用可在当月付款中结清。 (3)该工程实际完成产值见表6-20(各索赔费用不包括在内)。 (4)各月实际造价指数见表6-21。 问题: (1)施工单位可索赔工期多少?费用多少? 表6-20各月产值表 单位:万元 (2)该工程预付款为多少?起扣点为多少?保修金数额为多少? (3)每月实际应结算工程款为多少?
选项
答案
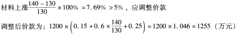
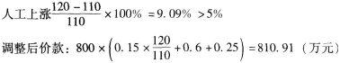
解析 (1)根据背景资料,确定工期索赔和费用索赔。 (2)每月应确认的工程进度款,注意应用工程造价指数法调整工程合同价。 [解析] 问题(1): ①工期索赔计算: 公网停电2天(非承包商原因,属业主风险); 返工时间2天(业主原因); 停工待图15天(业主原因); 机械检修1天(承包商原因); 故可索赔工期为2+2+15=19(天) ②费用索赔计算: 防雨损失费2万元(合同中已包括); 公网停电损失3万元(非承包商原因,属业主风险); 返工损失5万元(业主原因); 停工待图损失6万元(业主原因); 机械修理费1万元(承包商原因); 赶工措施费5万元(承包商原因); 故可索赔费用为3+5+6=14(万元) 问题(2): 该工程预付款为6000×20%=1200(万元) 起扣点为6000×40%=2400(万元) 保修金为6000×5%=300(万元) 问题(3): 每月实际付款: 2月份:实际完成1000(万元) 应支付1000×0.9=900(万元) 累计1200+900=2100(万元) 3月份:实际完成1200(万元) 应支付1200×0.9=1080(万元) 累计2100+1080=3180(万元) 4月份:实际完成1200(万元) 应支付1200-300-(300-1000×0.1-1200×0.1)=820(万元) 5月份:实际完成1200(万元) 实付:1255-300+3=948(万元) 6月份:实际完成800(万元) 实付:810.91-300+11=521.91(万元) 7月份:实际完成600(万元) 实付:600-300=300(万元)

相关内容:建筑安装,工程施工,合同,总价,6000万元,工期,6个月,日期,1月初,2月份,施工,规定,预付款,合同价

猜你喜欢

发表评论
更多 网友评论0 条评论)
暂无评论

访问排行

Copyright © 2012-2014 恰考网 Inc. 保留所有权利。 Powered by tikuer.com

页面耗时0.0644秒, 内存占用1.05 MB, Cache:redis,访问数据库17次