某大型建设项目包括主体钢结构工程与配套土建工程,采取公开招标方式分别确定两个承包商甲、乙。 钢结构工程项目施工承包合同中有关工程价款及其支付约定如下:...

作者: tihaiku 人气: - 评论: 0
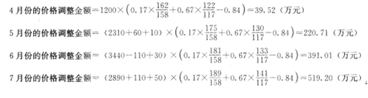
问题 某大型建设项目包括主体钢结构工程与配套土建工程,采取公开招标方式分别确定两个承包商甲、乙。 钢结构工程项目施工承包合同中有关工程价款及其支付约定如下: (1)签约合同价:82000万元,合同形式:可调单价合同; (2)预付款:签约合同价的10%.按相同比例从每月应支付的工程进度款中抵扣,到竣工结算时全部扣消; (3)工程进度款:按月支付.进度款金额包括:当月完成的清单子目的合同价款,当月确认的变更、索赔金额,当月价格调整金额,扣除合同约定应当抵扣的预付款和扣留的质量保证金; (4)质量保证金:从月进度付款中按5%扣留,质量保证金限额为签约合同价的5%; (5)价格调整:采用价格指数法,公式如下: 式中△P——价格凋整金额; Po——当月完成的清单子目的合同价款和当月确认的变更与索赔金额的总和; 1——当期人工费价格指数: M——当期材料设备综合价格指数。 该工程当年4月开始施工,前4个月的有关数据见表6-11。 土建工程项目由A、B、C三个分项工程组成,采用工程量清单招标确定中标人,合同工期5个月。各月计划完成工程量及综合单价见表6-12。承包合同规定: 1.开工前发包方向承包方支付分部分项工程费的15%作为材料预付款。预付款从工程开工后的第2个月开始分3个月均摊抵扣。 2.工程进度款按月结算,发包方每月支付承包方应得工程款的90%。 3.措施项目工程款在开工前和开工后第1个月末分两次平均支付。 4.分项工程累计实际完成工程量超过计划完成工程量的10%时,该分项工程超出部分的工程量的综合单价调整系数为0.95。 5.措施项目费以分部分项工程费用的2%计取,其他项目费为20.86万元,规费综合费率为3.5%(以分部分项工程费、措施项目费、其他项目费之和为基数),增值税税率为11%。 问题: 1.计算钢结构工程4个月完成的清单子目合同价款、价格调整金额。 2.计算钢结构工程6月份实际应拨付给承包人的工程款金额。 3.计算土建工程合同价、预付款,计算开工前承包商应得的措施项目工程款。 4.计算1、2月份造价工程师应确认的工程进度款(根据表6—13中的数据计算)。 {图3}
选项
答案
解析 问题1: 4月份完成的清单子目的合同价款=1200万元 5月份完成的清单子目的合同价款=3510-1200=2310(万元) 6月份完成的清单子目的合同价款=6950-3510=3440(万元) 7月份完成的清单子目的合同价款=9840-6950=2890(万元) 问题2: 6月份应扣预付款=(3440-110+30+391.01)×10%=375.10(万元) 6月份应扣质量保证金=(3440-110+30+391.01)×5%=187.55(万元) 6月份实际应拨付给承包人的工程款金额=3440-110+30+391.01-375.10-187.55=3188.36(万元) 问题3: 分部分项工程费用=(500+600)×180+(750+800)×480+(950+1100+1000)×375=208.58(万元) 措施项目费=208.58×2%=4.17(万元) 其他项目费=20.86万元 工程合同价=(208.58+4.17+20.86)×(1+3.5%)×(1+11%)=268.38(万元) 材料预付款=208.58×1.035×1.11×15%=35.94(万元) 开工前承包商应得措施项目工程款: 4.17×(1+3.5%)×(1+11%)×50%=2.40(万元) 问题4: 第1月:造价工程师确认的工程进度款为: 630×180×(1+3.5%)×(1+11%)×90%+41700×50%×(1+3.5%)×(1+11%)=14.12(万元) 第2月:A分项累计实际完成工程量:630+600=1230(m3)累计计划工程量=500+600=1100(m3) (1230-1100)÷1100=11.82%>10% [1230-1100×(1+10%)]×180×0.95+580×180=107820.00(万元) A分项工程进度款:10.782×1.035×1.11=12.39(万元) B分项实际工程量与计划工程量相同,对应的工程进度款为: 750×480×1.035×1.11=413586(元) 造价工程师确认的工程进度款为:12.39+41.36=53.75(万元)

相关内容:建设项目,主体,结构工程,土建工程,招标,方式,两个,承包商,钢结构,工程项目,施工,合同,有关,工程,价款,支付,约定,如下

猜你喜欢

发表评论
更多 网友评论0 条评论)
暂无评论

访问排行

Copyright © 2012-2014 恰考网 Inc. 保留所有权利。 Powered by tikuer.com

页面耗时0.0360秒, 内存占用1.05 MB, Cache:redis,访问数据库20次