如果物业的年净收益不变,报酬率不变,则收益年限无限计算出的物业的收益价值一定()收益年限有限的物业的收益价值。A:高于B:等于C:低于D:不确定

作者: rantiku 人气: - 评论: 0
问题 如果物业的年净收益不变,报酬率不变,则收益年限无限计算出的物业的收益价值一定()收益年限有限的物业的收益价值。
选项 A:高于 B:等于 C:低于 D:不确定
答案 A
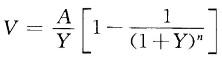
解析 本题考查收益法的应用。注意结合收益年限无限年且其他因素不变的房地产收益价格公式V=A/Y与收益年限有限年且其他因素不变的房地产收益价格公式进行判断,我们会发现有限年的公式还要乘以一个分数1-1/(1+Y)n,所以本题答案为A。

猜你喜欢

发表评论
更多 网友评论0 条评论)
暂无评论

访问排行

Copyright © 2012-2014 恰考网 Inc. 保留所有权利。 Powered by tikuer.com

页面耗时0.0415秒, 内存占用1.03 MB, Cache:redis,访问数据库20次