某等额本息还款的房地产抵押贷款月还款额为7908元,贷款年利率为5%,贷款期限为15年,抵押率为40%,则该房地产抵押物价值为()。A:100万元B:...

作者: rantiku 人气: - 评论: 0
问题 某等额本息还款的房地产抵押贷款月还款额为7908元,贷款年利率为5%,贷款期限为15年,抵押率为40%,则该房地产抵押物价值为()。
选项 A:100万元 B:167万元 C:250万元 D:300万元
答案 C
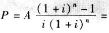
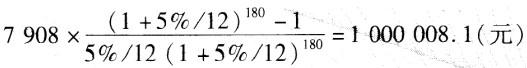
解析 已知A=7908元,i=5%/12,n=15*12=180(个月), 。抵押物价值=1000008.1/40%=2500020.3(元)。

猜你喜欢

发表评论
更多 网友评论0 条评论)
暂无评论

访问排行

Copyright © 2012-2014 恰考网 Inc. 保留所有权利。 Powered by tikuer.com

页面耗时0.0569秒, 内存占用1.03 MB, Cache:redis,访问数据库19次