某宗收益性房地产的估价价值偏高,其原因有()。A:收入估计过高B:空置率估计过低C:选取的报酬率过小D:运营费用估计过大E:收益期限估计过长

作者: rantiku 人气: - 评论: 0
问题 某宗收益性房地产的估价价值偏高,其原因有()。
选项 A:收入估计过高 B:空置率估计过低 C:选取的报酬率过小 D:运营费用估计过大 E:收益期限估计过长
答案 ABCE
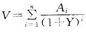
解析 本题考查房地产估价的收益法。根据收益法的公式,Ai等于有效毛收入减去运营费用,所以运营费用估计过大会导致房地产的估价价值偏低,故不选D。

猜你喜欢

发表评论
更多 网友评论0 条评论)
暂无评论

访问排行

Copyright © 2012-2014 恰考网 Inc. 保留所有权利。 Powered by tikuer.com

页面耗时0.0339秒, 内存占用1.03 MB, Cache:redis,访问数据库20次