某宗收益性房地产的评估价值偏高,其原因有()。A:收入估计过高B:空置率估计过低C:选取的报酬率过小D:运营费用估计过大E:收益期限估计过长

作者: rantiku 人气: - 评论: 0
问题 某宗收益性房地产的评估价值偏高,其原因有()。
选项 A:收入估计过高 B:空置率估计过低 C:选取的报酬率过小 D:运营费用估计过大 E:收益期限估计过长
答案 ABCE
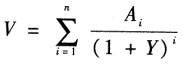
解析 根据,公式,其中V为房地产的收益价格;Ai为房地产未来第i年的净收益;Y为房地产的报酬率;n为房地产的收益年限。由公式可知当运营费用估计过大时会导致Ai的减小,从而使V偏低。

猜你喜欢

发表评论
更多 网友评论0 条评论)
暂无评论

访问排行

Copyright © 2012-2014 恰考网 Inc. 保留所有权利。 Powered by tikuer.com

页面耗时0.0298秒, 内存占用1.03 MB, Cache:redis,访问数据库18次