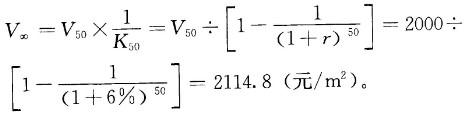
共用题干A.B两宗房地产,A房地产收益年限为50年,单价为2000元/m2,B房地产收益年限为30年,单价为1800元/m2,资本化平均为6%。A房无限年...

作者: rantiku 人气: - 评论: 0
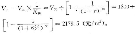
问题 共用题干A.B两宗房地产,A房地产收益年限为50年,单价为2000元/m2,B房地产收益年限为30年,单价为1800元/m2,资本化平均为6%。
选项 A房无限年价格为()元/m2。 A:2422.8 B:2432.1 C:2114.8 D:以上均不对
答案 C
解析 由于两宗房地产的收益年限不同,所以不能直接进行比较,只能将其都折算为无限年下的价格,然后再进行比较。 本题考查期限不同的房地产价格比较时的换算。=2179.5(元/m2) 收益年限有限年公式的前提假设有三:(1)净收益每年不变为A;(2)报酬率不等于零为Y;(3)收益年限为有限年n。 名义价格与实际价格并无必然的大小联系,而且在相同年限下二者趋于统一。

猜你喜欢

发表评论
更多 网友评论0 条评论)
暂无评论

访问排行

Copyright © 2012-2014 恰考网 Inc. 保留所有权利。 Powered by tikuer.com

页面耗时0.0425秒, 内存占用1.03 MB, Cache:redis,访问数据库20次