共用题干张某用200万元自有资金一次性付款购买了一店铺用于出租经营,经营期为20年。根据市场预测。经营期内前10年的年净租金为30万元,后10年的年净租金...

作者: rantiku 人气: - 评论: 0
问题 共用题干张某用200万元自有资金一次性付款购买了一店铺用于出租经营,经营期为20年。根据市场预测。经营期内前10年的年净租金为30万元,后10年的年净租金可达40万元。张某在不考虑店铺未来转售的情况下,其投资收益率要求达到10%(租金收入均在年末)。
选项 该投资方案的财务净现值为()万元。 A:79 B:99 C:200 D:500
答案 A
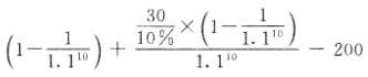
解析 本题考查投资项目方案的类型。独立方案是指方案之间互不干扰,在选择方案时可任意组合,直到资源得到充分利用为止的一组方案。独立方案更严格的定义是:若方案间加法法则成立,则这些方案是相互独立的。题干所述经营期内前10年和后10年的方案间加法法则成立,所以两个方案属于独立方案。 本题考查财务净现值计算。=79(万元)。 因为张某使用的是自有资金,所以不存在还本付息,故选ACD。 本题考查房地产的投资风险。变现风险是指投资者急于将房地产商品转换为现金时由于折价而导致资金损失的风险。本题中投资者不考虑店铺未来转售,所以不会面临变现风险。 本题考查房地产投资项目方案必选的两个层面:一是项目间的比选,即投资机会的比选;二是同一项目的投资方案的比选。

猜你喜欢

发表评论
更多 网友评论0 条评论)
暂无评论

访问排行

Copyright © 2012-2014 恰考网 Inc. 保留所有权利。 Powered by tikuer.com

页面耗时0.0346秒, 内存占用1.03 MB, Cache:redis,访问数据库18次