共用题干(2011年)某投资者以500万元的总价购买了一店铺用于出租经营,首付款为60%,余款为银行提供的年利率为7%、期限为10年、按年等额还款的抵押贷...

作者: rantiku 人气: - 评论: 0
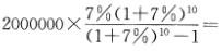
问题 共用题干(2011年)某投资者以500万元的总价购买了一店铺用于出租经营,首付款为60%,余款为银行提供的年利率为7%、期限为10年、按年等额还款的抵押贷款。该店铺的经营期为20年,投资者要求的目标收益率不低于10%。
选项 该投资者的年还款额为()万元。 A:21.4 B:27.00 C:28.48 D:32.10
答案 C
解析 本题考查等额本息还款的计算。贷款金额P=5000000*40%=2000000(元),年利率为7%,年还款额为28.48(万元),所以选择C。 本题考查经营型房地产开发项目的现金流出。经营型房地产开发项目的现金流出主要由固定资产投资和经营成本两大部分组成,这里的固定资产投资就是购房款,所以选择BC。 本题考查财务内部收益率。财务内部收益率反映项目的盈利能力,还表明项目投资所能支付的最高贷款利率。 本题考查房地产投资项目的现金流量。本题中投资者购买房产用于出租,属于租赁型置业投资,所以土地价格的变动不会影响该投资者目标的实现。

猜你喜欢

发表评论
更多 网友评论0 条评论)
暂无评论

访问排行

Copyright © 2012-2014 恰考网 Inc. 保留所有权利。 Powered by tikuer.com

页面耗时0.0270秒, 内存占用1.03 MB, Cache:redis,访问数据库16次