一个图书馆里有科技书和文学书两种类型,首先拿走25本科技书,剩下的文学书占剩下几分之几?( )

作者: rantiku 人气: - 评论: 0
问题 一个图书馆里有科技书和文学书两种类型,首先拿走25本科技书,剩下的文学书占剩下 几分之几?( )
选项
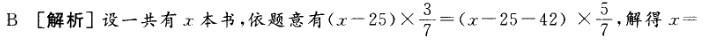
答案 B
解析

猜你喜欢

发表评论
更多 网友评论0 条评论)
暂无评论

访问排行

Copyright © 2012-2014 恰考网 Inc. 保留所有权利。 Powered by tikuer.com

页面耗时0.0354秒, 内存占用1.03 MB, Cache:redis,访问数据库19次