甲、乙二人在环湖小路上匀速步行,且绕行方向不变。19时,甲从A点、乙从B点同时出发相向而行。19时25分,两人相遇;19时45分,甲到达B点;20时5分,...

作者: rantiku 人气: - 评论: 0
问题 甲、乙二人在环湖小路上匀速步行,且绕行方向不变。19时,甲从A点、乙从B点同时出发相向而行。19时25分,两人相遇;19时45分,甲到达B点;20时5分,两人再次相遇。 乙环湖一周需要( )分钟。 A. 72 B. 81 C. 90 D. 100
选项
答案 C
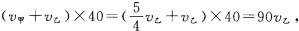
解析 行程问题。设甲、乙的速度分别为v甲和v乙,曱、乙第一次相遇走过的路 程之和即为从A点到B点的路程(与曱的方向相同),故可知(v甲+v乙)×25 = v甲 X45,推出而第一次相遇到第二次相遇的时间内甲、乙走过的路程之和即为环湖一周的路程,故可知即乙环湖一周需要90分钟。

猜你喜欢

发表评论
更多 网友评论0 条评论)
暂无评论

访问排行

Copyright © 2012-2014 恰考网 Inc. 保留所有权利。 Powered by tikuer.com

页面耗时0.0413秒, 内存占用1.03 MB, Cache:redis,访问数据库20次