根据下表,回答问题:服务性消费支出占消费支出的比重最髙的年份是( )年。A. 2005 B. 2006 C. 2007 D. 2008

作者: rantiku 人气: - 评论: 0
问题 根据下表,回答问题: 服务性消费支出占消费支出的比重最髙的年份是( )年。 A. 2005 B. 2006 C. 2007 D. 2008
选项
答案 B
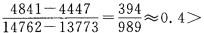
解析 2005至2008年,服务性消费支出占消费支出的比重分别为我们用差分法先比较2005年和2006年的比重,知道2006年较大。再比较2007年和2008年的比重,可知2007年较大。再比较2006年和2007年,,可知2006年较大,故选B。

猜你喜欢

发表评论
更多 网友评论0 条评论)
暂无评论

访问排行

Copyright © 2012-2014 恰考网 Inc. 保留所有权利。 Powered by tikuer.com

页面耗时0.0632秒, 内存占用1.03 MB, Cache:redis,访问数据库13次