根据下表,回答问题:下列说法错误的是( )。A. 2005至2009年,教育费用占服务性消费支出的比重逐年下降B.2005至2009年,在...

作者: rantiku 人气: - 评论: 0
问题 根据下表,回答问题: 下列说法错误的是( )。 A. 2005至2009年,教育费用占服务性消费支出的比重逐年下降 B.2005至2009年,在外饮食服务费占服务性消费支出的比重逐年上升 C. 2006至2010年,通信服务费占服务性消费支出的比重逐年下降 D. 2006至2010年,文化娱乐服务费占服务性消费支出的比重逐年上升
选项
答案 C
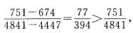
解析 比较2005年和2006年通信服务费占服务性消费支出的比重,知2006年的比重相对2005年上升,故C项错误。

猜你喜欢

发表评论
更多 网友评论0 条评论)
暂无评论

访问排行

Copyright © 2012-2014 恰考网 Inc. 保留所有权利。 Powered by tikuer.com

页面耗时0.0653秒, 内存占用1.03 MB, Cache:redis,访问数据库17次