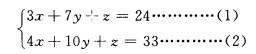
有甲、乙、丙3种商品,某人若购甲3件、乙7件、丙1件共需24 元;若购甲4件、乙10件、丙1件共需33元,则此人购甲、乙、丙 各一件共需( )元。 A...

作者: rantiku 人气: - 评论: 0
问题 有甲、乙、丙3种商品,某人若购甲3件、乙7件、丙1件共需24 元;若购甲4件、乙10件、丙1件共需33元,则此人购甲、乙、丙 各一件共需( )元。 A. 6 B. 8 C. 9 D. 11
选项
答案 A
解析 设甲、乙、丙3种商品的单价分别是x元、y元、z元。由题意列方程组得:,(1)×3-(2)×2,可直接得出X+Y+Z=6,本题还可用特值法求解,直接设X = 0,可解得y = 3,z = 3,则x + y + z = 6。故本题正确答案为A。

猜你喜欢

发表评论
更多 网友评论0 条评论)
暂无评论

访问排行

Copyright © 2012-2014 恰考网 Inc. 保留所有权利。 Powered by tikuer.com

页面耗时0.0549秒, 内存占用1.03 MB, Cache:redis,访问数据库18次