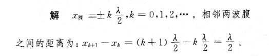
在波长为λ的驻波中,两个相邻波腹之间的距离为:A. λ/2
B.λ/4
C. 3λ/4
D. λ
相关内容:驻波,两个,距离
- 点电荷+q和点电荷-q相距30cm,那么,在由它们构成的静电场中( )。A.电场强度处处相等
B.在两个点电荷连线的中点位置,电场力为零
C.电场方向...
- 下列物质中,两个氢原子的化学性质不同的是( )。A.乙炔
B.甲酸
C.甲醛
D.乙二酸
- 如图4-70所示,常数为k的弹簧下挂一质量为m的物体,若物体从静平衡位置(设静伸长为δ)下降Δ距离,则弹性力所做的功为( )。
- 图6-29中,水池的隔墙上开有两个相同的小孔A和B,小孔直径5cm,流量系数μ= 0.62。上下游水位不变,两小孔的流量和为( )L/s。
A. 3.8...
- Windows提供了两个十分有效的文件管理工具,它们是()。A.集合和记录
B.批处理文件和目标文件
C.我的电脑和资源管理器
D.我的文档、文件夹
- 在驻波中,两个相邻波节间各质点的振动( )。A.振幅相同,相位相同
B.振幅不同,相位相同
C.振幅相同,相位不同
D.振幅不同,相位不同
- 有一三绕组电源变压器,一次绕组U1=220V,N1=880匝,二次侧有两个绕组,分别输出U21=36V,U22=UV,当分别接上P21=120W,P22=...
- 已知。r1=3,r2=-3是方程y+py+q=0 (p和q是常数)的特征方程的两个根, 则该微分方程是( )。A. y+9y=0= 0
B. y-9y=...
- 两个小组生产同样的零件,第一组的废品率是2%,第二组的产量是第一组的2倍而废品率是3%,若两组生产的零件放在一起,从中任抽取一件,经检查是废品,则这件废品...
- 点电荷+q和点电荷-q相距30cm,那么,在由它们构成的静电场中:A.电场强度处处相等
B.在两个点电荷连线的中点位置,电场力为0
C.电场方向总是从...