一重力大小为W= 60kN的物块自由放置在倾角为α= 30°的斜面上,如图所示,若物块与斜面间的静摩擦系数为f= 0. 4,则该物块的状态为: A.静止...

作者: tihaiku 人气: - 评论: 0
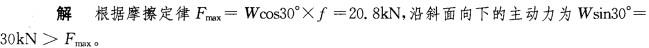
问题 一重力大小为W= 60kN的物块自由放置在倾角为α= 30°的斜面上,如图所示,若物块与斜面间的静摩擦系数为f= 0. 4,则该物块的状态为:
选项 A.静止状态 B.临界平衡状态 C.滑动状态 D.条件不足,不能确定
答案 C
解析

相关内容:重力,大小,物块,倾角,面上,如图,若物块,斜面,摩擦系数,该物块,状态,静止

猜你喜欢

发表评论
更多 网友评论0 条评论)
暂无评论
错误啦!

错误信息

  • 消息: [程序异常] : MISCONF Redis is configured to save RDB snapshots, but it's currently unable to persist to disk. Commands that may modify the data set are disabled, because this instance is configured to report errors during writes if RDB snapshotting fails (stop-writes-on-bgsave-error option). Please check the Redis logs for details about the RDB error.
  • 文件: /twcms/kongphp/cache/cache_redis.class.php
  • 位置: 第 85 行
    <?php echo 'KongPHP, Road to Jane.'; ?>