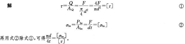
已知铆钉的许可切应力为[τ],许可挤压应力为[σbs],钢板的厚度为t,则图示铆钉直径d与钢板厚度t的关系是:

作者: tihaiku 人气: - 评论: 0
问题 已知铆钉的许可切应力为[τ],许可挤压应力为[σbs],钢板的厚度为t,则图示铆钉直径d与钢板厚度t的关系是:
选项
答案 B
解析

相关内容:铆钉,应力,挤压,钢板,厚度,直径,关系

猜你喜欢

发表评论
更多 网友评论0 条评论)
暂无评论

Copyright © 2012-2014 恰考网 Inc. 保留所有权利。 Powered by tikuer.com

页面耗时0.0461秒, 内存占用1.04 MB, Cache:redis,访问数据库19次