水流经过变直径圆管,管中流量不变,已知前段直径d1= 30mm,雷诺数为5 000,后段直径变为d3=60mm,则后段圆管中的雷诺数为:A. 5 000 ...

作者: tihaiku 人气: - 评论: 0
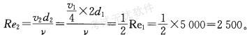
问题 水流经过变直径圆管,管中流量不变,已知前段直径d1= 30mm,雷诺数为5 000,后段直径变为d3=60mm,则后段圆管中的雷诺数为:
选项 A. 5 000 B. 4 000 C. 2 500 D. 1 250
答案 C
解析

相关内容:水流,直径,圆管,流量,雷诺数,后段

猜你喜欢

发表评论
更多 网友评论0 条评论)
暂无评论

Copyright © 2012-2014 恰考网 Inc. 保留所有权利。 Powered by tikuer.com

页面耗时0.0296秒, 内存占用1.04 MB, Cache:redis,访问数据库18次