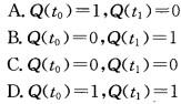
JK触发器及其输入信号波形如图所示,那么,在t=t0和t=t1时刻,输出Q分别为:
相关内容:触发器,信号,波形,如图,时刻
- 如图2-12所示,在玻璃(折射率n3=1.60)表面镀一层 MgF2 (折射率n2=1.38)薄膜作为增透膜,为了使波长为500nm (1nm=10-9m...
- 如图6-11所示,水库上下游水深h1=6m、 h2=5m,闸板高h=3m,宽1m。则闸板上的水压力为( )kN。
A. 29.4
B. 58.8
C...
- 如图5-14所示等截面圆轴上装有四个带轮,合理安排为()。
A.将轮C与D轮对调
B.将轮B与轮D对调
C.将轮B与轮C对调
D.将轮B与轮D对...
- 如图5-68所示四根压杆的材料、截面均相同,它们在纸面内失稳的先后次序为( )。
A. (a), (b), (c), (d)
B. (d), (a),...
- 电路如图7-26所示,已知R=1kΩ,C=2μF,电路对f=500Hz的信号发生谐振,谐振时端口电流为0.1A,电流表的读数最接近于()A。
A.0.6...
- 恒定水位柱形滤水器如图6-35所示,已知直径d=1.0m, 土样高度h=1.2m,渗透系数k= 0.01cm/s,土样上部水深H=0.6m,渗流量Q为( ...
- 如图7-47所示的控制电路中,交流接触器KM1、KM2分别控制电动机M1和M2,以下叙述正确的是()。
A.M1,M2可以独立运行,互不影响
B.M1...
- 电路如图7-3所示,两电源共同作用时,U2=5V,当Is单独作用时,U2将( )。
A.变大
B.变小
C.不变
D.无法判定
- 如图4-63所示,两重物m1和m2的质量分别为m1和m2,两重物系在不计质量的软绳上,绳绕过均质定滑轮,滑轮半径为r,质量为M,则此滑轮系统对转轴O之动量...
- 如图7-57所示,将放大倍数为1,输入电阻为1kΩ,输出电阻为50Ω的射极输出器插接在信号源(us,Rs)与负载(RL)之间,形成图(b)电路,与图(a)...