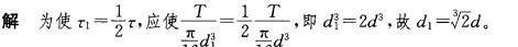
直径为d的实心圆轴受扭,为使扭转最大切应力减小一半,圆轴的直径应改为:

作者: tihaiku 人气: - 评论: 0
问题 直径为d的实心圆轴受扭,为使扭转最大切应力减小一半,圆轴的直径应改为:
选项
答案 D
解析

相关内容:直径,圆轴,受扭,应力

猜你喜欢

发表评论
更多 网友评论0 条评论)
暂无评论

Copyright © 2012-2014 恰考网 Inc. 保留所有权利。 Powered by tikuer.com

页面耗时0.0354秒, 内存占用1.03 MB, Cache:redis,访问数据库16次