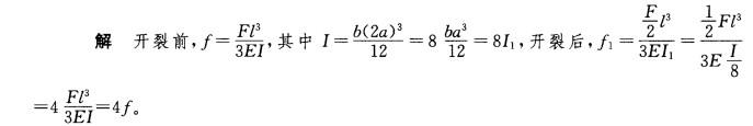
悬臂梁AB由两根相同的矩形截面梁胶合而成。若胶合面全部开裂,假设开裂后两杆的弯曲变形相同,接触面之间无摩擦力,则开裂后梁的最大挠度是原来的: A.两者相...

作者: tihaiku 人气: - 评论: 0
问题 悬臂梁AB由两根相同的矩形截面梁胶合而成。若胶合面全部开裂,假设开裂后两杆的弯曲变形相同,接触面之间无摩擦力,则开裂后梁的最大挠度是原来的:
选项 A.两者相同 B.2倍 C.4倍 D.8倍
答案 C
解析

相关内容:悬臂梁,矩形,截面,梁胶合,若胶,假设,两杆,接触面,摩擦力,后梁,挠度

猜你喜欢

发表评论
更多 网友评论0 条评论)
暂无评论

Copyright © 2012-2014 恰考网 Inc. 保留所有权利。 Powered by tikuer.com

页面耗时0.0384秒, 内存占用1.04 MB, Cache:redis,访问数据库18次