某公司拟向银行贷款100万元,贷款期为3年,甲银行的贷款利率为6%(按季计 息),乙银行的贷款利率为7%,该公司向哪家银行贷款付出的利息较少:A.甲银行 ...

作者: tihaiku 人气: - 评论: 0
问题 某公司拟向银行贷款100万元,贷款期为3年,甲银行的贷款利率为6%(按季计 息),乙银行的贷款利率为7%,该公司向哪家银行贷款付出的利息较少:
选项 A.甲银行 B.乙银行 C.两家银行的利息相等 D.不能确定
答案 A
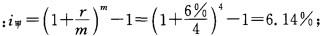
解析 解 比较两家银行的年实际利率,其中较低者利息较少。甲银行的年实际利率乙银行的年实际利率为7%,故向甲银行贷款付出的利息较少。

相关内容:公司,银行,贷款,100万元,贷款期,甲银,利率,乙银,利息

猜你喜欢

发表评论
更多 网友评论0 条评论)
暂无评论
错误啦!

错误信息

  • 消息: [程序异常] : MISCONF Redis is configured to save RDB snapshots, but it's currently unable to persist to disk. Commands that may modify the data set are disabled, because this instance is configured to report errors during writes if RDB snapshotting fails (stop-writes-on-bgsave-error option). Please check the Redis logs for details about the RDB error.
  • 文件: /twcms/kongphp/cache/cache_redis.class.php
  • 位置: 第 85 行
    <?php echo 'KongPHP, Road to Jane.'; ?>