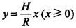
直线与y =H及y轴所围图形绕y轴旋转一周所得旋转体的体积为( )(H,R为任意常数)。

作者: tihaiku 人气: - 评论: 0
问题 直线与y =H及y轴所围图形绕y轴旋转一周所得旋转体的体积为( )(H,R为任意常数)。
选项
答案 A
解析 提示:

猜你喜欢

发表评论
更多 网友评论0 条评论)
暂无评论

Copyright © 2012-2014 恰考网 Inc. 保留所有权利。 Powered by tikuer.com

页面耗时0.0309秒, 内存占用1.03 MB, Cache:redis,访问数据库17次